
今天的我们,很难想象数学会“崩溃”。
公式严密、结论确定、逻辑可靠——
数学似乎天生就是完美的。
但两千多年前,数学第一次意识到:它并不完美。
这一冲击,被后人称为——第一次数学危机。
一个被“信仰”包裹的数学世界
在古希腊早期,数学并不仅仅是一门学科,它是一种世界观。
以毕达哥拉斯学派为代表,他们坚信:
万物皆数,且皆为整数之比。
在他们看来:
和谐来自比例
比例来自整数
数学描述的是宇宙最深层的秩序
这是一个封闭、优雅、令人安心的数学体系。
世界的秩序,看似一切都能用整数和比例来解释。
危机并非来自复杂问题
第一次数学危机,并不是由高深难题引发的。
相反,它来自一个再简单不过的几何问题:
边长为 1 的正方形,对角线有多长?
答案很简单:

问题也随之出现:
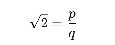
√2 能不能写成两个整数之比?
如果不能,那么“万物皆数”的信条就第一次出现了裂缝。
一个证明,揭开无理数的秘密
历史上最早揭示这一事实的人,很可能是毕达哥拉斯学派的西帕索斯。
他的证明逻辑非常简单,却彻底颠覆了当时的数学信念。
证明步骤:
假设它是有理数
假设 √2 可以表示为两个互质整数的比:

其中 p 和 q 没有1以外的公因数。
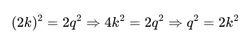
两边平方

分析奇偶性,可得p²是偶数,所以p也一定是偶数。
设 p=2k,代回去:

这说明q²也是偶数,所以q也必须是偶数。
矛盾出现
我们最初假设 p 和 q 互质,但现在发现它们都是偶数,有公因数 2。
这与假设矛盾。
因此,最初假设错误,√2 不是有理数。
这个证明看似简单,但在当时是惊天地泣鬼神的发现:
它第一次揭示了数学内部的不完美
它第一次让人类意识到存在无法用整数比例表示的长度
它第一次让数学家们开始思考数的本质
这就是第一次数学危机的核心——逻辑推到极致,揭露了数学体系的裂缝。
危机的影响:数学的自我觉醒
这场危机,不仅是数的危机,更是数学思想的危机:
数的定义不够宽
传统的“整数比例”无法描述所有长度。
几何与代数之间存在裂缝
一条对角线,竟然无法用比表示。
数学不是完美的直觉集合
即使逻辑再严密,体系内部也可能隐藏无法表达的对象。
数学第一次发现:
自己内部存在无法被原有体系解释的对象。
古希腊数学家面对这个无理数问题,用严格逻辑证明取代直觉比例,这种策略,最终催生了欧几里得几何的严密体系。
为什么它如此重要?
因为这是人类历史上第一次意识到:
数学不是绝对真理的集合,而是不断修补的体系。
此后的每一次数学飞跃——
无穷、微积分、集合论、逻辑基础——
几乎都伴随着新的危机。
第一次数学危机,是这个循环的起点。
裂缝,才是进化的入口
无理数并没有摧毁数学。
它只是让数学第一次承认:
世界比我们的信念更复杂。
而那个时代的数学,也正是从这道裂缝开始,
一步步走向更深、更严密、更成熟的结构。
第一次数学危机,
不是数学的失败,
而是数学真正成长的开始。
)
)
)
)
)
)
)
)
)
)
)
)
)
)
)
)