
弹性记忆复合材料(EMC)在构建可展开空间结构方面具有非常理想的特性。例如,碳纤维增强的EMC层压板可以弯曲到高于5%的应变水平(在高温下),而不会损伤纤维或基体,通过冷却可“冻结”在该形状,随后通过重新加热可恢复其原始形状。当然,碳纤维的极限应变值在1%-1.5%范围内,但用碳纤维增强的EMC层压板能够承受大于5%的名义弯曲应变而不损坏。实现这些高封装应变的主要机制是碳纤维的微屈曲和非线性、后微屈曲响应。尽管通过发展实用的经验设计方程在预测EMC行为方面已取得进展,但对EMC微屈曲起始及后微屈曲力学的彻底分析处理尚未实现。本文对经典的微屈曲解进行了综述,并评估了它们在预测EMC材料在封装和展开过程中的微屈曲响应方面的适用性。一个关键结论是,这些解基于对EMC微屈曲的不正确运动学假设,因此导致计算出的临界应力/应变和微屈曲波长存在显著误差。然而,用于推导经典解的方法经过修改后,很可能可用于推导更准确的EMC层压板解。
一、引言
弹性记忆复合材料(EMC)与传统的纤维增强高性能复合材料相似,不同之处在于其使用了形状记忆聚合物基体体系,这使得材料能够实现极高的封装应变水平而无损伤。EMC部件采用传统的复合材料制造方法以及热固性形状记忆聚合物基体材料制造,这些基体材料在制造过程中已完全固化。由Composite Technology Development, Inc(CTD)研发的一系列热固性形状记忆聚合物,具有不同的致动温度和机械性能,以满足各种航空航天及地面应用的需求。绝大多数EMC技术的航空航天应用都需要连续碳纤维增强,以满足展开力和展开后刚度的要求。
已证实碳纤维增强EMC层压板能够承受大于5%的名义弯曲应变而无损伤,这显著高于高性能碳纤维典型的1%-1.5%极限应变。实现这些高封装应变的主要机制是碳纤维的微屈曲及其非线性后屈曲响应。纤维微屈曲是EMC层压板在加热至其致动温度以上(≈115°C)且其基体显著软化时,受压时的固有响应。经验表明,一旦纤维微屈曲形成,EMC层压板可以弯曲到非常高的曲率而无损伤,并且在冷却后基体的刚性得以恢复,从而无限期地保持或“冻结”微屈曲形状。将EMC层压板再次加热到其致动温度以上,将导致微屈曲逐渐变直,层压板逐渐“自展开”至其封装前的精确几何形状。此循环可重复多次而机械性能不退化。
EMC材料是近十年内发展起来的一类相对较新且具有潜在革命性的材料。然而,正是那些使EMC材料令人振奋的特性使得其分析变得不简单。具体而言,由于概率效应(例如,纤维体积分数的局部变化)以及包括大位移/应变效应和温度依赖性在内的多种非线性来源,EMC材料的纤维微屈曲起始及其后屈曲行为非常复杂。尽管通过发展实用的经验设计方程在预测EMC行为方面已取得进展,但对EMC微屈曲起始及后微屈曲力学的彻底分析处理尚未实现。有大量经典的细观力学理论致力于求解连续纤维增强复合材料中微屈曲的临界应变/应力。然而,这些求解方法的动机源于硬树脂(即非EMC)复合材料中的微屈曲,这是一种失效机制,而非可恢复的变形机制。因此,进一步发展针对EMC材料的微屈曲及后微屈曲分析,一个逻辑起点便是对现有文献进行批判性评述。
本文综述了经典的纤维微屈曲解析解,并评估了其在理解EMC材料于封装和展开过程中的行为方面的实用性。本综述仅限于该问题的解析解,这些解主要是在20世纪60年代至80年代期间推导得出的,不包括更近期的数值解。这种限制是有意为之,因为对于推导设计方程而言,精确的解析解比数值解更具实用性。所评述的所有工作都源于研究人员提出的弹性基础上杆件屈曲的原始解,该解最初由研究人员和研究人延伸至纤维微屈曲问题。这种方法已普遍被接受用于预测硬树脂复合材料的压缩强度,这一点在众多复合材料教科书中有所体现。本文探讨了这些简单的闭式解在单向增强EMC层压板的微屈曲及后微屈曲响应中的适用性。交叉铺层及织物增强EMC层压板中的纤维微屈曲主题留待未来考虑。
二、测试观察
展开全文为了评估微屈曲理论模型的适用性,首先有必要讨论EMC层压板微屈曲实验室测试中的关键观察结果。本节总结了以往测试计划的结果,以及近期测试中为了更好地定义EMC层压板微屈曲响应的关键方面所获得的结果。
2.1 模态形状观察
在近期的测试中,在不同应变水平及高度受控的条件下,于单向增强EMC层压板中诱发了微屈曲,以从微屈曲起始到极高应变的后屈曲响应过程中,表征微屈曲的关键属性。在这些测试中,将平坦的单向EMC层压板加热后绕不同尺寸的圆柱体弯曲。弯曲时对层压板施加拉力以防止纤维扭结和过早失效。然后让EMC层压板冷却至室温,将其“冻结”在封装形状中,如同实际应用中的操作(见图1)。随后,在垂直位置重新加热试样,使其克服重力自展开。每次测试前后测量层压板的弯曲刚度和形状,以确定弯曲过程中是否发生了任何材料损伤。

图1. 封装EMC层压板,显示面内微屈曲。
试样厚度为0.5毫米,宽度为25毫米,长度为25厘米。它们是单向试样,采用沿试样长度方向(图1中的1方向)排列的IM7碳纤维制成。基体使用致动温度为115°C的环氧形状记忆聚合物。圆柱形封装心轴的直径尺寸范围为6毫米至25毫米。因此,名义封装应变范围为2%至8%(其中应变 = 层压板厚度/弯曲直径)。需要注意的是,层压板厚度屈曲区域柔度的增加使得中性弯曲表面剧烈地向受拉侧移动,这使得该经典公式得出的只是实际弯曲应变的近似值或“名义”值。

香港星云先进技术有限公司(NAT)是Composite Technology Development(CTD)代理商,我们为客户提供(高性能树脂(环氧树脂、氰酸酯等)、尖端复合材料、压力容器)产品。
在这些测试中观察到,纤维始终在层压板平面内(图1中的1-2平面)发生屈曲,呈类似正弦曲线的形状,名义波长约为1毫米。这种面内微屈曲与过去在单向增强平坦层压板上进行的测试类似,但与过去在单向增强圆柱形层压板上进行的测试形成对比,后者观察到了面外微屈曲(图2)。假设能量最低的微屈曲模式通常是图2所示的面外模式,但层压板内表面受到折叠心轴的约束可能会迫使产生面内模式。

图2. 封装EMC纵梁,显示面外微屈曲。
在所有过去的纤维微屈曲测试中,均观察到微屈曲的振幅在层压板的受压侧最大,并在受拉侧减小至零。尽管尚未对微屈曲振幅沿厚度方向的变化进行精确测量,但可以合理地假设这种变化几乎是线性的,正如研究人员首先预测,之后由研究人员进行研究(见图3)。此外,微屈曲总是规则且呈周期性的,具有类似正弦曲线的形状和近乎均匀的波长,波长范围大约从1毫米到3毫米,具体取决于纤维和基体材料。最后,观察到微屈曲的波长从低弯曲应变下屈曲起始到这些测试中建立的极高弯曲应变过程中,并未发生显著变化。

图3. 纤维微屈曲振幅沿厚度方向变化的假设。
2.2 纤维与树脂应变观察
在近期对平坦层压板微屈曲进行的受控良好的测试中,未在任何试样中观察到纤维断裂或分层等可见损伤。每个封装-展开循环前后均测量弯曲刚度,以检测任何不可见的损伤。这是在室温下对展开后的试样进行四点弯曲测试来完成的。从测试中得出的量是材料在弯曲状态下的有效杨氏模量。杨氏模量测量值的变异系数(标准差/平均值 × 100%)为2.5%。在1、2和3次封装-展开循环后,在2%和5%的封装应变下未检测到性能退化。在8%的封装应变下,经过一次封装-展开循环后,检测到弯曲杨氏模量下降了4%。
除了刚度测量外,每次封装-展开循环前后还进行了形状测量,以量化展开精度。这些测量在花岗岩平台上进行,使用精密高度规,并将试样一端夹持在量块上。测试中试样被封装180°,从形状测量中得出的量是180°封装角的恢复百分比(180°/180° × 100%为完全恢复)。这组测试的变异系数小于0.5%,并且所有试样均测量到完全恢复,包括那些杨氏模量略有下降的试样。这些结果与先前受控较差的测试结果非常吻合,在那些测试中,常规观察到EMC层压板能承受大于5%的弯曲应变,且基体或纤维材料均未出现可识别的失效。
图4展示了两张EMC层压板的光弹性显微照片,这些层压板分别被弯曲并“冻结”至约5%(图4(a))和远超过5%的压缩应变(图4(b))。图4(a)呈现了在约5%最小压缩应变下面内纤维微屈曲的透射光光弹性图像,其中基体剪切应力峰值区域显示为亮点,暗区则为纤维或树脂应变最小区域。需要注意的关键特征是,高基体应变区域位于微屈曲类正弦波的拐点处,正如研究人员最初的理论所预测。图4(b)展示了一张透射光和反射光光弹性显微照片,呈现了承受超过5%压缩应变的EMC层压板中的扭结带失效,其中基体应力集中区域显示为颜色(红色和蓝色为最大值),位于扭结带的两端,纤维呈浅灰色可见。此照片中需要注意的关键结果是,在此高应变下没有纤维断裂的证据,但有清晰的基体失效和分层区域。这些结果表明(同样,正如研究人员最初的理论所预测),在EMC层压板的后微屈曲响应中,纤维在名义压缩应变远高于5%时仍保持弹性且无损伤,而基体则经历局部区域的极高应变并最终失效——推测主要是由基体剪切主导。

(a) 在约5%后微屈曲压缩应变下的高树脂应变区域。(b) 在后微屈曲应变 > 5%时的扭结和分层区域。
图4. 弯曲并“冻结”的EMC样品的偏振光显微照片。
三、纤维微屈曲的解析解
3.1 解析解运动学假设的批判性回顾
纤维微屈曲的经典解析解最初由研究人员和发展,其动机源于研究人员提出的弹性基础上杆件屈曲的解(为方便起见,这些解在附录A至C中重新推导)。研究人员的解假设,在均匀压缩作用下,单向增强复合材料内的所有纤维同时发生微屈曲,且呈现为图5所示的两种纤维变形模式之一。在EMC试样中观察到的微屈曲在外观上与图5所示的剪切屈曲模式非常相似。然而,在EMC试样中观察到的微屈曲是由于弯曲诱导的压缩,而研究人员的解假设的是均匀压缩。

图5. 剪切与拉伸屈曲模式。
研究人员理论中隐含的一个关键运动学假设是:所有纤维都以完全相同的模态形状和振幅发生屈曲。这一假设本质上将问题简化为沿纤维长度方向的一维问题,关键未知量是微屈曲的临界波长。如图1和图3先前所示,EMC层压板中的微屈曲振幅沿其厚度方向变化,并且在某些情况下(如图2中圆柱形纵梁的情况)还可能沿宽度方向变化。因此,需要探讨的关键问题是,像研究人员所建立的一维微屈曲理论,是否适用于EMC层压板在弯曲作用下的二维或三维微屈曲问题。或者,我们可以问:如果在层压板厚度和/或宽度方向上存在微屈曲振幅的变化,从运动学上看,是否可能存在纯粹的剪切或纯粹的拉伸微屈曲模式?事实上,很明显这些纯粹的微屈曲模式都不可能单独存在,因此,必须存在这些模式的某种组合——也就是说,在EMC层压板的微屈曲区域,基体必然同时承受剪切和拉伸应变。
3.2 微屈曲波长解析解的批判性回顾
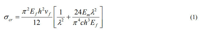
在EMC试样中观察到的微屈曲是均匀的,名义波长在1-3毫米。因此,要使经典理论适用于预测EMC材料在弯曲下的微屈曲,它必须能预测出波长在1-3毫米量级的微屈曲。首先考虑研究人员针对拉伸屈曲模式(如图5右侧示意图所示)的微屈曲应力的解(推导见附录C):

其中Ef是纤维模量,Em是基体模量,Vf是纤维体积分数,ℎh 是纤维直径,2c是相邻纤维间距,𝜆λ 是微屈曲波长。
图6中标为“拉伸”的曲线是方程(1)随微屈曲波长 𝜆λ 变化的函数图,假设了表1所列的EMC层压板典型性能。图6表明,假设为拉伸微屈曲模式时,屈曲纤维波长在0.09毫米处存在一个最小能量状态。该值比实验观察到的1-3毫米波长小一个数量级。当然,在EMC中观察到的微屈曲变形模式似乎并非拉伸模式屈曲,因为纤维看起来是彼此同相运动的(见图1),更像是研究人员假设的剪切模式微屈曲。

图6. Rosen临界屈曲应力解图。
现在考虑研究人员针对剪切屈曲模式的临界屈曲应力的解。该解由方程(2)给出,并使用表1中的性能参数绘制于图6中(标为“剪切”)。


表1. 绘图函数所用性能参数
方程(2)和图6表明,对于剪切模式,当微屈曲波长最大化时,临界屈曲应力始终最小。此外,最大微屈曲波长出现在波长等于试样长度时。因此,剪切模式微屈曲的屈曲形状是沿试样长度的单个半正弦微屈曲。显然,这一结果与在弯曲下观察到的EMC层压板微屈曲趋势相矛盾,因为观察到的是一种类剪切模式的微屈曲,但临界波长相对于试样长度而言很小。需要指出的是,虽然数学上的最小应变能出现在最大波长处,但从图6中“剪切”曲线的斜率明显看出,要迫使波长达到1毫米量级,所需的能量增加非常微小。
关于研究人员的微屈曲理论的最后一点评论是,方程(2)并非该解的典型表达形式。正如研究人员所指出的,在临界波长远大于纤维直径(因此h/λ –>0)的情况下,方程(2)中的第二项可以忽略不计。因此,嵌入基体中的纤维发生剪切模式微屈曲的解简化为:

这意味着纤维微屈曲与纤维材料和几何形状无关。这对于小波长微屈曲的情况难以解释。因此,在考虑小波长时,方程(2)给出的完整解是合适的。
为了建立一个能更好拟合EMC层压板观察行为的剪切模式微屈曲解析解,研究人员对研究人员的剪切模式屈曲解进行了改进,他实质上将基体中的剪切变形能与研究人员最初为其弹性基础确定的能量相等。其结果是一个具有研究人员解的特征,同时也具有研究人员原始解特征的剪切模式微屈曲解。特别是,研究人员确定了剪切模式微屈曲的临界应力为:

该式在纤维体积分数vf = 0.5时与研究人员的解(方程(3))相同,并且同样与纤维材料和几何形状无关。与研究人员的解不同,研究人员推导出了以下临界微屈曲波长的表达式:

代入附录D中Ef, Gm, h和vf的典型值,得出的临界微屈曲波长约为1毫米,这与在EMC层压板中观察到的微屈曲波长为同一数量级。尽管研究人员的解预测了一个合理的纤维临界波长,但它存在一个明显的矛盾。该解预测临界应力随纤维体积分数的增加而下降(见方程(4)),这是违反直觉的,而且很可能是错误的。目前尚不清楚这一矛盾的重要性有多大。
3.3 数值模拟
为了更彻底地探索各种现有微屈曲解析解的适用性,并在缺乏更多定量实验结果的情况下,有必要考虑对弯曲下EMC层压板纤维微屈曲进行一系列数值模拟。作为该方向的第一步,已构建了一个基体材料封装单纤维的模型,并正在对各种边界和端部条件进行模拟,以观察数值结果与解析解的相关性。
图7显示了具有不同基体封装水平的方形柱的初步有限元分析(使用带铰支边界条件的ANSYS 20节点SOLID95单元),即经典的欧拉屈曲、底部附有单个基础的Timoshenko杆以及顶部和底部均有基础的Timoshenko杆,所有结果都归一化到一种解析解。趋势是随着封装程度的增加,有限元分析与解析解之间的相关性降低。这里使用的解析解是研究人员的解。研究人员的解导致了比图中所示更低的相关性。

图7. 基体封装程度增加的柱体有限元分析。
上述解相关性不佳,促使人们继续寻找更好的解。研究人员在固体分叉方面的开创性工作,以及研究人员、研究人员,最重要的是研究人员的扩展工作,看起来很有前景。他们的方法是二维连续介质力学方法,得出了一个二维层状固体的精确解。这项研究的结果将在未来的工作中报告。
四、结论
经验表明,在高温下准确测量EMC试样的临界屈曲应力非常困难。然而,测量临界应变可能是可行的,当然,表征微屈曲纤维的波长也非常容易。因此,临界应变和微屈曲波长可能是衡量解析解最合理的特征参数。纤维损伤和作为封装应变水平函数的恢复性不足,也容易通过传统测试技术获得。但似乎基体分层是首先出现的失效模式。
收集了先前测试的观察结果以及近期测试的新观察结果。第一个观察结果是,根据测试条件的不同,可能发生面内和面外两种屈曲模式的微屈曲。观察到的微屈曲纤维波长范围名义上在1-3毫米之间。对于所测试的试样,在名义封装应变水平高达5%时未发生机械性能退化,但在8%名义封装应变后,弯曲杨氏模量出现轻微下降。试样的形状在应变水平高达8%的封装-展开循环中未受影响。
将这些观察结果与文献中公认的非EMC复合材料经典微屈曲解进行了比较。这些解由研究人员提出,是研究人员提出的弹性基础上杆件屈曲原始解的延伸。这些解析解是为一个本质上的一维问题而发展的,其中所有纤维都假定具有相同的微屈曲波长和振幅。EMC弯曲诱导的微屈曲显然不是一个一维问题,因为屈曲纤维的波长必须在层压板厚度方向变化。结果表明,经典解确实没有预测出与观察到的波长相符的微屈曲波长,但这很可能是由于一维假设,而非其通用方法。
还将一个较新的微屈曲解与观察结果进行了比较。研究人员也扩展了研究人员的工作以得出其解,但使用了与研究人员不同的方法。该解与有限元分析结果仅略有相关性,且存在轻微矛盾。然而,结果表明,该解预测的微屈曲波长与观察到的波长吻合良好。这一成就表明,经典文献中使用的通用方法是有前景的。
香港星云先进技术有限公司(NAT)是Composite Technology Development(CTD)代理商,采购(高性能树脂(环氧树脂、氰酸酯等)、尖端复合材料、压力容器)请立即联系我们。
深圳办事处地址:深圳市光明区艾维普思大厦808

)
)
)
)
)
)
)
)
)
)
)
)
)
)
)
)